仪表放大器是一种高增益、直流耦合放大器,它具有差分输入、单端输出、高输入阻抗和高共模抑制比等特点。差分放大器和仪表放大器所采用的基础部件(运算放大器)基本相同,它们在性能上与标准运算放大器有很大的不同。
标准运算放大器是单端器件,其传输函数主要由反馈网络决定;而差分放大器和仪表放大器在有共模信号条件下能够放大很微弱的差分信号,因而具有很高的共模抑制比(CMR)。它们通常不需要外部反馈网络。

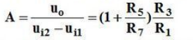
仪表放大器的放大倍数公式推导如下图所示:

测量放大器原始电路
1、电路结构特征:两个同相比例电路加一个减法器
总电压放大倍数为:
2、信号处理特征:CMRR=1,一放对差模信号 Ud 和共模信号 Uc,一同加以放大貌似公允,实质上则良莠不齐,共模抑制任务完全交给二放。

测放原始电路在差模输入电压下的表现——接地没用

测放原始电路在共模输入电压下表现——离不开接地

测量放大器工作原理
信号处理特征:一放对差模信号 Ud 加以放大,对共模信号 Uc,Rg 相当断开,蜕化为电压跟随器,减轻了二放的共模抑制任务。
一放差模电压放大倍数:
一放对共模信号相当电压跟随器,其共模电压放大倍数 :Ac=1
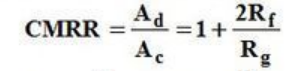
一放共模抑制比:
总电压放大倍数:
仪表放大器构成原理
仪表放大器电路的典型结构如下图所示。它主要由两级差分放大器电路构成。其中,运放 A1,A2 为同相差分输入方式,同相输入可以大幅度提高电路的输入阻抗,减小电路对微弱输入信号的衰减;差分输入可以使电路只对差模信号放大,而对共模输入信号只起跟随作用,使得送到后级的差模信号与共模信号的幅值之比(即共模抑制比 CMRR)得到提高。这样在以运放 A3 为核心部件组成的差分放大电路中,在 CMRR 要求不变情况下,可明显降低对电阻 R3 和 R4,Rf 和 R5 的精度匹配要求,从而使仪表放大器电路比简单的差分放大电路具有更好的共模抑制能力。在 R1=R2,R3=R4,Rf=R5 的条件下,图 1 电路的增益为:G=(1+2R1/Rg)Rf/R3。由公式可见,电路增益的调节可以通过改变 Rg 阻值实现。
